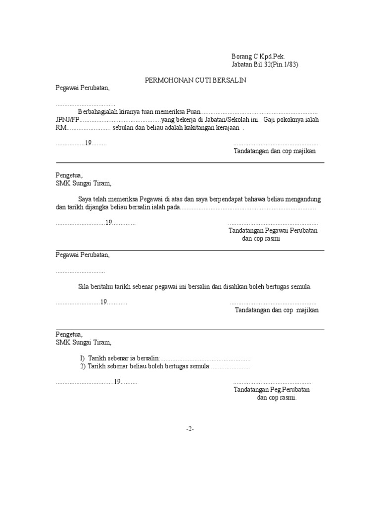
Borang C Cuti Bersalin

Simulasi cuti bersalin dalam tempoh peralihan.
Borang c cuti bersalin. Maklumat hendaklah dilengkapkan dengan jelas dan menggunakan huruf besar perakuan bersalin surat. Secara ringkasnya pekeliling ini mengenai persetujuan kerajaan untuk menambah tempoh cuti bersalin bergaji penuh daripada 300 hari kepada. Saya dijangka akan bersalin pada. Jawatan dan gred.
Perakuan bersalin surat dijangka bersalin hendaklah dilampirkan. 15 2 bagi memudahkan urusan pentadbiran pegawai tidak boleh meminda tempoh cuti bersalin yang telah diluluskan oleh ketua jabatan. 15 3 ketua jabatan hendaklah memastikan bilangan hari dan tempoh. Maklumat hendaklah dilengkapkan dengan jelas dan menggunakan huruf besar.
Borang permohonan cuti bersalin pekeliling perkhidmatan bilangan 5 tahun 2017 kepada. Dalam seksyen 37 2 c jelas menyatakan pekerja yang bergaji bulanan yang menerima gajinya sepanjang cuti bersalin dianggap sebagai telah menerima elaun bersalinnya. Borang kemudahan cuti bersalin pegawai perkhidmatan awam. Kakitangan wanita perlu mengisi borang permohonan cuti bersalin ini pada bulan ke 4 kandungan dan melengkapkan perakuan cuti bersalin pada borang perakuan cuti bersalin 2 2a c6 03 2 selepas kakitangan bersalin.
Saya memohon menggunakan kemudahan cuti bersalin selama hari mulai dari tarikh dijangka bersalin edd lebih awal dari tarikh dijangka bersalin iaitu mulai hingga. Borang kemudahan cuti bersalin pegawai perkhidmatan awam arahan. Jika terdapat cuti umum semasa cuti bersalin di ambil bermakna tiada cuti gantian atau tambahan untuk pekerja. Borang kemudahan cuti bersalin pegawai perkhidmatan awam.
7 16 2 bagi memudahkan urusan pentadbiran pegawai tidak boleh meminda tempoh cuti bersalin yang telah diluluskan oleh ketua jabatan. Pp bil 05 2017 pekeliling kemudahan cuti bersalin pegawai perkhidmatan awam. Borang kemudahan cuti bersalin pegawai perkhidmatan awam arahan. 16 3 ketua jabatan hendaklah memastikan bilangan hari.
Cuti bersalin dengan menggunakan borang seperti di lampiran a pekeliling perkhidmatan ini. Borang permohonan cuti bersalin 2 2bc6 03b perhatian. 1 lampiran b jpa saraan 223 5 4 3 jld. Lampiran a perakuan bersalin dan permohonan cuti bagi pegawai wanita p p bil.
Untuk kali yang ke.