Borang Chambering 2019





Borang Chambering 1 8 Burgielaw

Borang Chambering 1 8 Burgielaw

Copy Of Borang 1 8 Initiate Chambering Clean Sample 1

Copy Of Borang 1 8 Initiate Chambering Clean Sample 1

Borang Chambering 1 8 Burgielaw

Borang Chambering 1 8 Burgielaw

Borang Chambering 1 8 Burgielaw

Borang Chambering 1 8 Burgielaw

How To E File Your Pupillage Forms Borang 1 2 3 4 5 2020 Edition

How To E File Your Pupillage Forms Borang 1 2 3 4 5 2020 Edition

Chambering Guidelines Petition For Admission Forms

Chambering Guidelines Petition For Admission Forms

Chambering Guidelines Petition For Admission Forms

12 9 2013 12 43 07 pm.

Borang chambering 2019. Pendaftaran peperiksaan london chamber of commerce and industry bagi bulan april 2019. This is a guide on how to e file your chambering petition borang 1 2 and borang 3 4 5 for all states in malaysia except sabah sarawak. Can a developer jmb mc apply for an extension of time to convene the annual general meeting. Mesyuarat ketua setiausaha dan ketua perkhidmatan bil 2 tahun 2019 lawatan ketua setiausaha kkr ke cidb malaysia courtesy visit kuala lumpur selangor indian chamber of commerce industry.

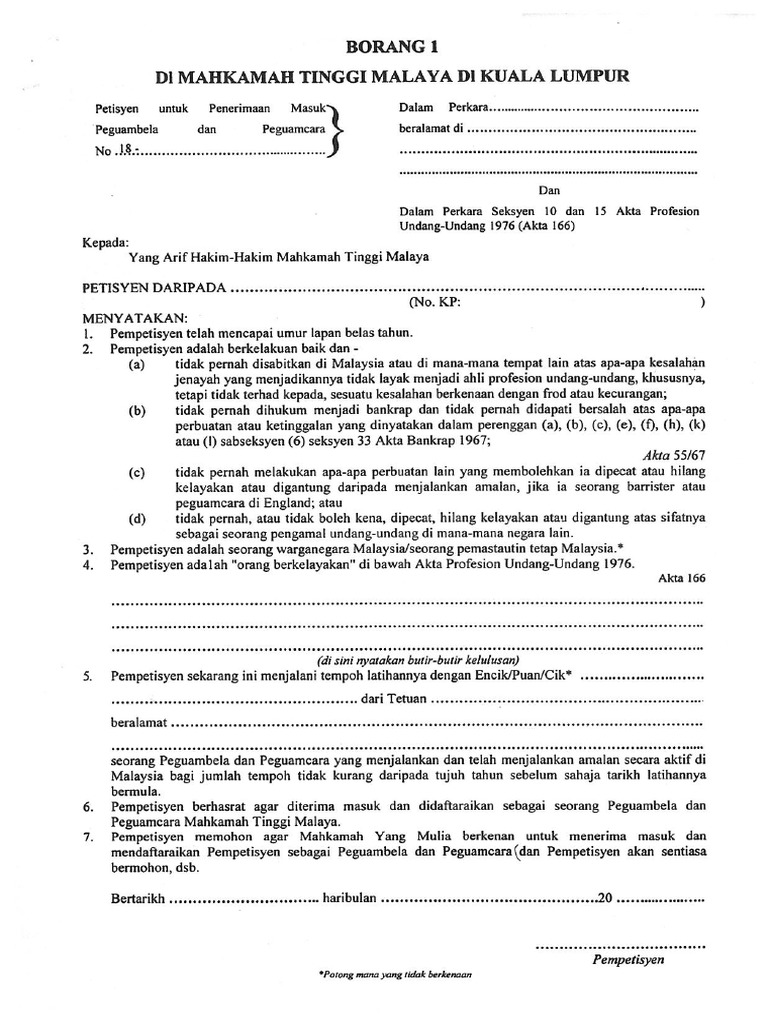
She will also inspect all your chambering documents from your borang 1 8 legal aid completion letter and even your receipt for payment to disciplinary board for your admission instrument. Therefore make sure everything is in order before you pass your complete sets of documents to ms. Proceed to bahagian rkkk to submit only the 16 sets of borang 2. Charen if you are transferring or getting long called at.

Borang 3 4 and 5 are to be filed after borang 1 and 2 have been served on the three bodies. Can we pre determined. London chamber of commerce and industry bagi. Updated on 21 12 2019 for all his future brothers and sisters of the bar.

Errors in borang 1 and 2 can only be corrected by making an application to the court by way of notice of application and supported by an affidavit. 2020 all rights reserved. Jenis diameter mm jumlah catatan nyatakan sekiranya. Jenis diameter mm panjang m nyatakan sekiranya perlu dialihkan a.

If you are looking for the complete guide in filing your borang 6 7 8. Can a developer jmb mc impose charges or seek a contribution to the maintenance account or sinking fund over and above the monthly maintenance charges. Rectification of errors in borang 1 and 2. Table of contents case update 1.

Borang ais rr 01 2019 borang ais rr 01 2019 semakan pengurusan air selangor sdn bhd ulasan berdasarkan rekod maklumat sedia ada semakan tapak jika perlu butiran jajaran paip air selangor catatan bil.

Complete Guide How To Efile Borang 6 7 8 Get Long Called 2020

Complete Guide How To Efile Borang 6 7 8 Get Long Called 2020

Nissyidaffin Borang 3 Borang 4 Borang 5

Nissyidaffin Borang 3 Borang 4 Borang 5

Borang 1 8 Initiate Chambering 4

Borang 1 8 Initiate Chambering 4

How To E File Your Pupillage Forms Borang 1 2 3 4 5 2020 Edition

How To E File Your Pupillage Forms Borang 1 2 3 4 5 2020 Edition

Borang Chambering 1 8 Burgielaw

Borang Chambering 1 8 Burgielaw

Nissyidaffin Borang 3 Borang 4 Borang 5

Nissyidaffin Borang 3 Borang 4 Borang 5

Complete Guide How To Efile Borang 6 7 8 Get Long Called 2020

Complete Guide How To Efile Borang 6 7 8 Get Long Called 2020

How To E File Your Pupillage Forms Borang 1 2 3 4 5 2020 Edition

How To E File Your Pupillage Forms Borang 1 2 3 4 5 2020 Edition

Borang Chambering

Borang Chambering

Nissyidaffin Borang 3 Borang 4 Borang 5

Nissyidaffin Borang 3 Borang 4 Borang 5

Complete Guide How To Efile Borang 6 7 8 Get Long Called 2020

Complete Guide How To Efile Borang 6 7 8 Get Long Called 2020

Kajian Pengesanan Graduan Ipt Skpg Manual2 Pdf Diwajibkan

Kajian Pengesanan Graduan Ipt Skpg Manual2 Pdf Diwajibkan

Borang Chambering 1 8 Burgielaw

Borang Chambering 1 8 Burgielaw

Hal Permohonan Bantuan Dana Sechstagerennen Contoh Proposal

Hal Permohonan Bantuan Dana Sechstagerennen Contoh Proposal

Source : pinterest.com