Borang Maklumat Pelajar Mrsm

Di bahagian maklumat peribadi pemohon perlu mengisi maklumat.
Borang maklumat pelajar mrsm. Pemohon perlu mengisi semua maklumat di dalam borang permohonan online dan memastikan borang tersebut dihantar secara online dan dicetak. Juga dikongsikan maklumat aliran dan lokasi mrsm yang menawarkan program aliran yang dinyatakan. Berkuasa universiti sultan zainal abidin boleh melucutkan taraf saya sebagai pelajar universiti ini menurut bahagian v kaedah kaedah tatatertib pelajar pelajar 2008 di bawah akta universiti dan kolej universiti 1971. Keputusan tawaran mrsm tingkatan 1 2021 keputusan pemilihan dan penempatan ke tingkatan satu mrsm diumumkan selewat lewatnya bulan februari 2021.
Pemohon mestilah mengisi semua maklumat yang diperlukan di dalam borang permohonan online dan memastikan borang tersebut berjaya dihantar secara online. Permohonan online mrsm form 1 tingkatan 1 maktab rendah sains mara tahun 2020 berikut mysumber sertakan maklumat berkaitan antaranya seperti prosedur cara untuk membuat permohonan atas talian online tempoh permohonan dan syarat umum juga tambahan bagi pemilihan kemasukan ke tingkatan 1 maktab rendah sains mara untuk pengambilan tahun 2020. Pelajar di mrsm pdrm wajib mengikuti badan beruniform kor kadet polis. Buat pelajar lepasan tahun 6 dan tingkatan 3 atau ibubapa yang berminat untuk menghantar anak melanjutkan pelajaran mrsm untuk tingkatan 1 dan 4 bolehlah membuat permohonan mrsm secara online segera tanpa menunggu keputusan upsr pmr.
Tandatangan pelajar tarikh nama penuh pelajar no. Atau klik butang halaman 2 maklumat ibu bapa untuk menyimpan maklumat peribadi ke dalam sistem dan seterusnya memaparkan borang maklumat ibu bapa. Permohonan dan borang mrsm tingkatan 1 dan 4 untuk sesi 2020 kini dibuka dari 8 september 2019 30 november 2019. Borang permohonan mengandungi 4 bahagian iaitu maklumat peribadi maklumat ibu bapa penjaga pilihan mrsm dan perakuan.
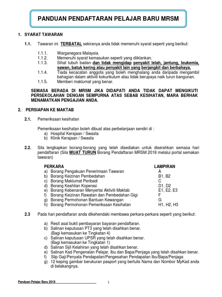
Sila tandakan untuk lampiran yang telah disiapkan. Senarai semak borang 1. Bil perkara lampiran tindakan pelajar semakan pegawai mrsm 1 borang pengakuan penerimaan tawaran mrsm a 2 borang keizinan pembedahan dan kebenaran rawatan kecemasan b1 b2 3 borang maklumat peribadi c 4 borang keahlian koperasi dan pembelian saham koperasi tambahan d1 d2 5 borang akuan. Setelah mengisi maklumat peribadi klik butang simpan permohonan untuk menyimpan maklumat peribadi ke dalam sistem 3.
Borang permohonan yang telah lengkap diisi hendaklah dicetak. 1 senarai semak borang. Permohonan perlu dibuat secara online di permohonan kemasukan maktab rendah sains mara mrsm tingkatan 4 2018. Apakah pilihan aliran yang terdapat dan ditawarkan kepada pelajar di maktab rendah sains mara mrsm.
Alamat surat menyurat 8.