Borang Tender Nombor Jpj





Apa Nombor Plat Paling Pelik Rakyat Malaysia Pernah Beli Soscili

Apa Nombor Plat Paling Pelik Rakyat Malaysia Pernah Beli Soscili

85 No Pendaftaran Jpj Tender Pendaftaran No Tender Jpj

85 No Pendaftaran Jpj Tender Pendaftaran No Tender Jpj

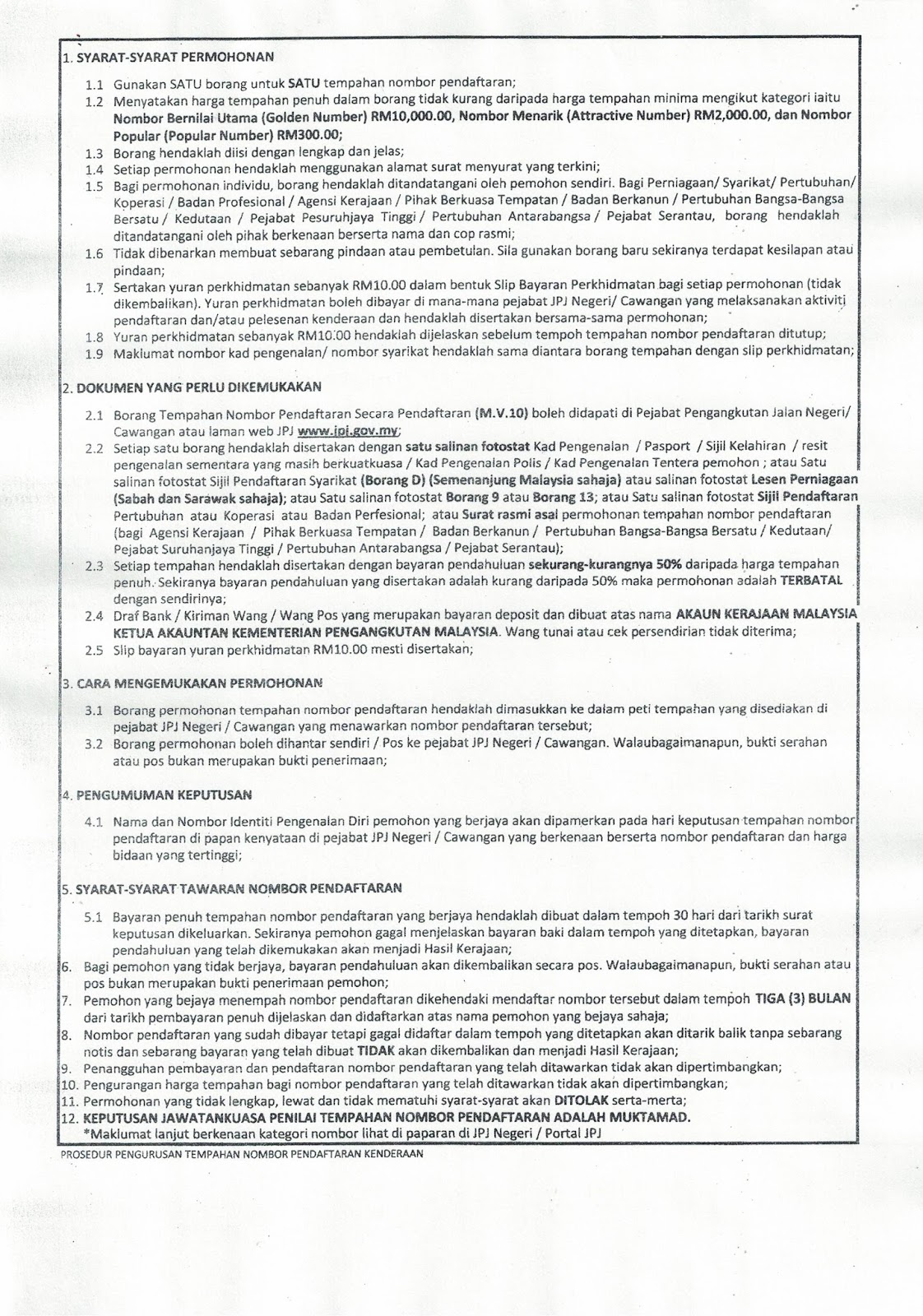
Prosedur Pemindahan Nombor Pendaftaran Jpj Cawangan Teluk

Prosedur Pemindahan Nombor Pendaftaran Jpj Cawangan Teluk

Prosedur Pemindahan Nombor Pendaftaran Jpj Cawangan Teluk

Prosedur Pemindahan Nombor Pendaftaran Jpj Cawangan Teluk

Nola Story Langkah Langkah Permohonan Tempahan Nombor Pendaftaran

Nola Story Langkah Langkah Permohonan Tempahan Nombor Pendaftaran

Borang Permohonan Pendataran Kenderaan Motor Jpj K1

Borang Permohonan Pendataran Kenderaan Motor Jpj K1

Borang Permohonan Pendataran Kenderaan Motor Jpj K1

Jabatan pengangkutan jalan aras 3 5 no.

Borang tender nombor jpj. Semakan no plat terkini jpj online nombor pendaftaran kenderaan cara semak no plat kereta terkini 2020 cara mendapatkan nombor plate sendiri di pejabat jpj. 26 jalan tun hussien presint 4 pusat pentadbiran kerajaan persekutuan 62100 wp putrajaya. Macam aku pergi awal pagi juga nak elakkan ramai orang. 26 jalan tun hussien presint 4 pusat pentadbiran kerajaan persekutuan 62100 wp putrajaya.

The jpj numbers plate available for registration are divided into four categories including golden numbers 1 to 10 attractive numbers 11 to 19 repetitive numbers such as 66 777 or 9999 and popular numbers. Aku sampai jpj wangsa maju pukul 8 pagi dan ambil no giliran. Haritu saya tunggu lama jugak nak dapat no baru. 1 5 mengemukakan bayaran penuh harga tempahan nombor pendaftaran yang dibida dalam bentuk draf bank atau kiriman wang sahaja tempoh sahlaku mestilah tidak kurang dari tiga 3 bulan dari tarikh tender diiklankan dan dibuat atas nama ketua pengarah pengangkutan jalan malaysia negeri negeri lain akauntan negara malaysia mot t wilayah.

Shaharuddin berkata e bidding memudahkan pengguna mendapatkan nombor pendaftaran kenderaan tanpa perlu menghantar borang seperti sebelum ini. Kalau nak beli plat kl lah. Putrajaya seterus info korporat pada 1 april 1946 jabatan pengangkutan jalan telah ditubuhkan yang bertujuan menyelaras segala aspek berkaitan pengangkutan bagi seluruh negeri. Putrajaya sebelum notis pertukaran butir butir kenderaan dan pemunya berdaftar jpj k8 seterus info korporat pada 1 april 1946 jabatan pengangkutan jalan telah ditubuhkan yang bertujuan menyelaras segala aspek berkaitan pengangkutan bagi seluruh negeri.

Borang tempahan nombor pendaftaran kenderaan secara tawaran w p. Jpj akan memperkenalkan satu lagi projek iaitu sistem pemanduan kenderaan secara elektronik yang menguji kenderaan di dalam bilik kawalan menggunakan pemanduan secara digital. Updated 24 aug 2017. Booking reserve jpj number plate.

Jabatan pengangkutan jalan aras 3 5 no. Seminggu saya tunggu jpj bukak nombor baru dari pengalaman sy sepanjang hari monitor no siri baru dibuka bila no dah sampai 9500 ke atas. Merana nak tunggu nak try beli balik nombor. Ni untuk nombor pendaftaran kl.

Berbeza dgn kredit kad lebih cepat status tu bertukar. Borang tempahan nombor pendaftaran pindaan 2 2009 kelulusan khas m v 10b sebelum borang tempahan nombor pendaftaran kenderaan secara tawaran w p.

Nola Story Langkah Langkah Permohonan Tempahan Nombor Pendaftaran

Nola Story Langkah Langkah Permohonan Tempahan Nombor Pendaftaran

Borang Jpj

Borang Jpj

Pakcik Chomy ڤقچئ چوماي How To Buy Nice Registration Plate

Pakcik Chomy ڤقچئ چوماي How To Buy Nice Registration Plate

Acute Writer Tender Nombor Pendaftaran Kenderaan

Acute Writer Tender Nombor Pendaftaran Kenderaan

10 Pendaftaran Kenderaan Baru Jpj Pendaftaran Kenderaan Baru Jpj

10 Pendaftaran Kenderaan Baru Jpj Pendaftaran Kenderaan Baru Jpj

Juz Digitz Borang Tender Plate Nombor Malaysia Mana Facebook

Juz Digitz Borang Tender Plate Nombor Malaysia Mana Facebook

Khairul Anwar Saat On Twitter Tapi No Plat Idaman Aku Sebenarnya

Khairul Anwar Saat On Twitter Tapi No Plat Idaman Aku Sebenarnya

Plat Ry Dah Boleh Tempah Nasional Berita Harian

Plat Ry Dah Boleh Tempah Nasional Berita Harian

Nola Story Langkah Langkah Permohonan Tempahan Nombor Pendaftaran

Nola Story Langkah Langkah Permohonan Tempahan Nombor Pendaftaran

Https Www Jpj Gov My Documents Portlet File Entry 35811 Borang Tempahan Nombor Pendaftaran Kenderaan Secara Pilihan 28m V 10a 29 Pdf 8efaa00e 68d2 42d7 D356 646570e772c1 Status 0 Download True

Https Www Jpj Gov My Documents Portlet File Entry 35811 Borang Tempahan Nombor Pendaftaran Kenderaan Secara Pilihan 28m V 10a 29 Pdf 8efaa00e 68d2 42d7 D356 646570e772c1 Status 0 Download True

No1 Web Plate No For Sell

No1 Web Plate No For Sell

How Much The Vr46 Plat Number Price Will Fetch

How Much The Vr46 Plat Number Price Will Fetch

New Wp Putrajaya F Number Plate Tender Results To Be Released

New Wp Putrajaya F Number Plate Tender Results To Be Released

Source : pinterest.com